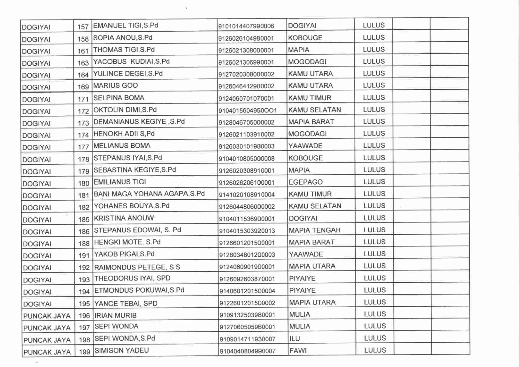
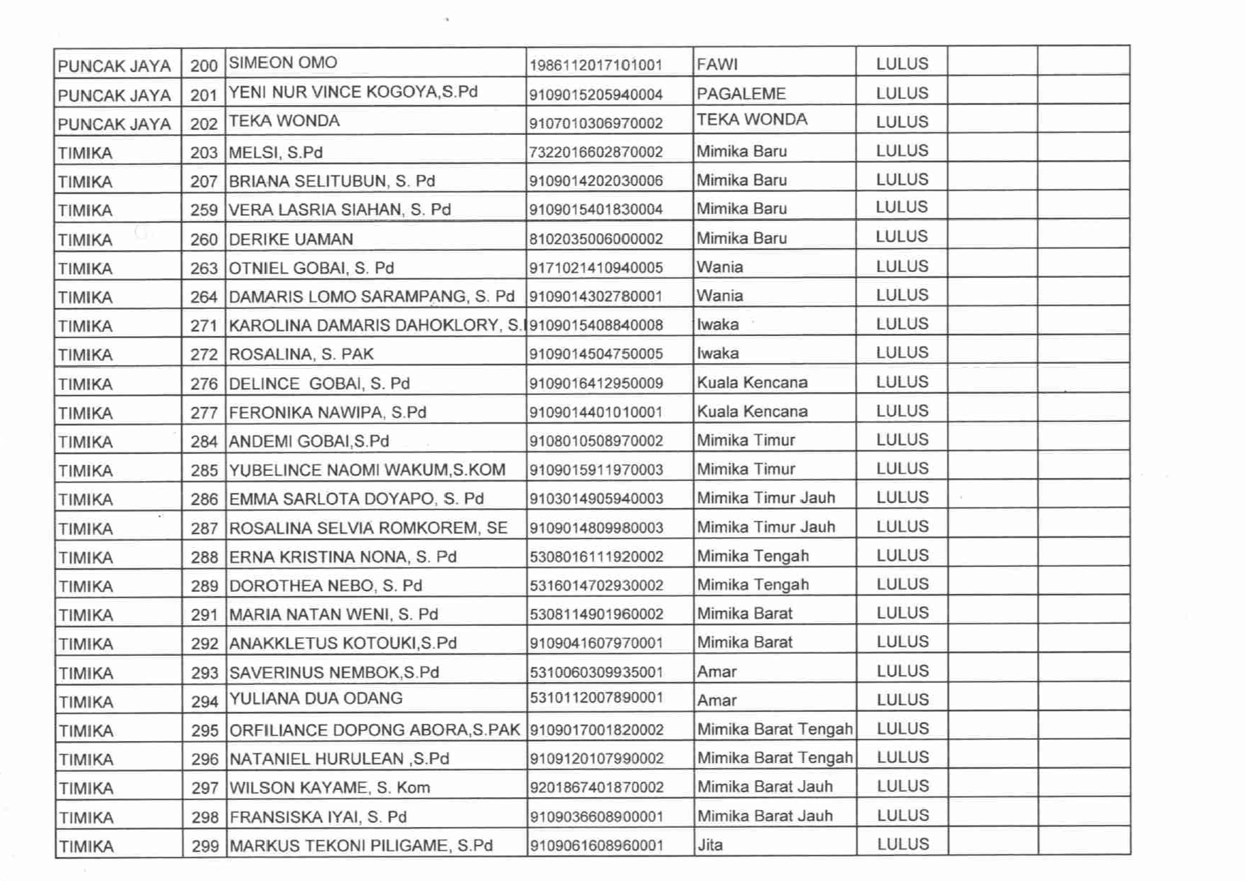
Nabire, 30 September 2025 – Pemerintah Provinsi Papua Tengah melalui Dinas Pendidikan dan Kebudayaan resmi mengumumkan hasil verifikasi dan penetapan seleksi Tenaga MAPEGA Guru 3T tahun 2025.
Dari total 670 pelamar, hanya 196 peserta yang dinyatakan lulus seleksi dan berhak melanjutkan ke tahap pendampingan pada Kamis, 9–10 Oktober 2025.
Berdasarkan pengumuman resmi, jumlah kuota yang tersedia adalah 278 peserta, sehingga masih terdapat 82 sisa kuota yang akan diisi kemudian. Adapun 474 peserta lainnya dinyatakan tidak lulus seleksi.
Bagi peserta yang tidak lolos, Dinas Pendidikan Papua Tengah memberikan kesempatan untuk bergabung sebagai tenaga pendamping program Sekolah Sepanjang Hari (SSH) di 8 kabupaten. Informasi lebih lanjut dapat diperoleh melalui hotline Dinas Pendidikan Papua Tengah di nomor 081241547765.
Khusus untuk Kabupaten Puncak Jaya dan Puncak, pengisian kuota guru 3T akan dilakukan melalui koordinasi langsung dengan Dinas Pendidikan setempat.
Pengumuman ini bersifat final dan tidak dapat diganggu gugat.
saya dari distrik kepulauan moora,Papua tengah nabire.mana janji pak gubernur,saya anak asli ijsa guru TPI slama tes TDK pernah. lulus.padhal saya anak kampung asli distrik moora.tlng pak. gub jawab permintaan kami anak kampung dari pulau moor,.🙏🏾🙏🏾🙏🏾🙏🏾
ini Ada Tahap ll lagi ka
atau begitu saja selesai
saya pikir Ini Tidak mungkin Kenapa memilih Keluarga saja
trus Yang Lain mau kasih kemanakan✅✊
hormat
syalom selmt pg buat Bp/ ibu Dinas p&p Provisi papua tenggah tolong upayakan orang asli papua karna Org papua kebayakan Sarjana Pendidikan banyak yg Nyagur2 bagi Dua kab puncak dan puncak jaya Kuota tenaga Guru jd Bagimana imfo selajutnx By.Beau Mayau s.pd.k.
baik terimakasih atas informasinya sangat luar biasa pemerintah provinsi Papua tenggah demi menurun pengganguran
namun menjadi pertanyaan saya apakah kami lain kumpul berkas nanti bagaimana sesuai informasi resmi jelas namun kapan nanti ambil solusi nya
DATA YG SUDAH LULUS INI TUNJUK ATAU TES TONG SEMUA PROFESI GURU TAPI LINK PENDAFTARAN PALSU LANGSUNG TUTUP BARU NAIK NAMA LULUS TES ane atau nyata.
Maaf Dan terima kasih tanpa tes ga ada namaku ibaratkan dariku TUNJUKLAH SATU JARI EMPATNYA KENA KEMBALI SEIRING BERJALANNYA WAKTU amin
by:Pilipus Nawipa S.Pd
Monika.sawaa
saya dari distrik kepulauan moora,Papua tengah nabire.mana janji pak gubernur,saya anak asli ijsa guru TPI slama tes TDK pernah. lulus.padhal saya anak kampung asli distrik moora.tlng pak. gub jawab permintaan kami anak kampung dari pulau moor,.🙏🏾🙏🏾🙏🏾🙏🏾
Leiron Wenda
selamat sore Papua tengah jurusan Akuntansi bisa daftar ya!!
Marinus Pigai
ini Ada Tahap ll lagi ka
atau begitu saja selesai
saya pikir Ini Tidak mungkin Kenapa memilih Keluarga saja
trus Yang Lain mau kasih kemanakan✅✊
hormat
Beau Mayau
syalom selmt pg buat Bp/ ibu Dinas p&p Provisi papua tenggah tolong upayakan orang asli papua karna Org papua kebayakan Sarjana Pendidikan banyak yg Nyagur2 bagi Dua kab puncak dan puncak jaya Kuota tenaga Guru jd Bagimana imfo selajutnx By.Beau Mayau s.pd.k.
Pither
semoga mampuni mengajar
Keakwa
Bapak dan ibu diDinas provinsi Papua tengah Tolong utamakan Putra Daerah Bukan pendatang saya kecewa data yang saya kirim tidak akomodir itu tolong
Paulus
sebelumnya ungkapan gub.papteng harus ada guru kontrak 100%
maka dibalik itu bermain kepentingan sendiri
fakta tapi nyata?!.
Petrus Magai
baik terimakasih atas informasinya sangat luar biasa pemerintah provinsi Papua tenggah demi menurun pengganguran
namun menjadi pertanyaan saya apakah kami lain kumpul berkas nanti bagaimana sesuai informasi resmi jelas namun kapan nanti ambil solusi nya
Pilipus Nawipa
SALAM SUKSES FIGUR PAPTENG
DATA YG SUDAH LULUS INI TUNJUK ATAU TES TONG SEMUA PROFESI GURU TAPI LINK PENDAFTARAN PALSU LANGSUNG TUTUP BARU NAIK NAMA LULUS TES ane atau nyata.
Maaf Dan terima kasih tanpa tes ga ada namaku ibaratkan dariku TUNJUKLAH SATU JARI EMPATNYA KENA KEMBALI SEIRING BERJALANNYA WAKTU amin
by:Pilipus Nawipa S.Pd